文献分享 | 镍过敏相关并发症患者中,完全内镜下取出PFO/ASD封堵器:一项回顾性分析
镍是常见的Ⅳ型超敏致敏原,成人致敏率约20%–30%,且女性发生率通常高于男性。近期,一项纳入95例完全内镜下取出PFO/ASD封堵器患者的回顾性研究表明,植入金属封堵器后84.2%的患者出现头痛、头晕、视力模糊、心悸等症状,89.5%的患者确诊为镍过敏。封堵器取出术显著改善了患者的临床症状,术后6个月,生活质量“良好”评分比例从术前的7.4%提高至95.8%(p < 0.001)。该研究表明,镍过敏与金属封堵器相关并发症之间存在强相关性。未来,可降解封堵器可从根源上避免镍过敏发生,为此类患者提供更为安全有效的治疗新选择。

文章链接:
https://www.imrpress.com/journal/HSF/29/1/10.31083/HSF49911
摘要
背景
本研究旨在评估针对镍过敏并发症采用完全内镜下取出卵圆孔未闭(PFO)或房间隔缺损(ASD)封堵器这一方法的安全性与有效性。
方法
对2020年至2025年间接受经股动脉体外循环完全内镜下封堵器取出术的95例患者进行了回顾性分析,所有患者术前均通过斑贴试验进行了镍过敏筛查。 结果包括手术成功率、症状缓解情况、生活质量(QoL)趋势以及并发症。
结果
所有封堵器均成功取出,且未行开胸手术。体外循环中位时间为71.2分钟;96.8%的残余缺损直接缝合。89.5%的患者确诊为镍过敏。术后6个月,生活质量“良好”评分比例从术前的7.4%提高到95.8%(p < 0.001)。术后未观察到重大并发症,但有2例(2.1%)出现短暂性心房颤动。 失血量中位数为36.8毫升;未出现二次手术或死亡病例。
结论
完全内镜下封堵器取出术对于镍过敏相关并发症是安全有效的,能显著缓解症状并改善生活质量。术前镍过敏筛查可优化术后效果,并且微创方法可降低并发症,因此支持将该技术应用于封堵器取出。
关键词:卵圆孔未闭;房间隔缺损;镍过敏;内镜下封堵器取出术;心脏手术;残余缺损
1 引言
卵圆孔未闭(PFO)封堵器常用于预防隐源性卒中复发和治疗偏头痛[1,2]。虽然镍合金封堵器能长期降低血栓栓塞事件的风险[3],但封堵器移位、内皮化不完全及镍过敏等报道日益增多[4,5]。镍过敏尤其令人担忧,因为镍在医疗器械中被广泛使用。虽然镍过敏在普通人群中患病率较高,但其在PFO或者ASD封堵术后发生率尚无明确记载[6]。目前,镍过敏发生的病理生理学机制仍不清楚,有必要进一步研究其在并发症中的作用[7,8]。
镍过敏反应可表现为多种症状,包括胸痛、偏头痛、心悸和呼吸困难,通常在植入封堵器数周至数年后出现。对于已发生过镍过敏的患者,机体的免疫反应可导致慢性炎症,从而引发持续性症状。这些症状无法通过常规医疗手段缓解[9]。从封堵器中释放的镍离子(Ni2+)作为半抗原与宿主蛋白(例如Toll样受体4/TLR4)结合,通过NF-κB通路触发先天免疫反应[10]。这会促进树突状细胞成熟和抗原呈递,激活镍特异性CD4⁺/CD8⁺ T细胞[11]。持续的炎症会导致肥大细胞脱颗粒(组胺、类胰蛋白酶释放→胸痛、皮疹)、巨噬细胞募集(IL-1β、TNF-α释放→内皮功能障碍)[4],以及由于基质金属蛋白酶(MMP)介导的组织重塑而导致内皮化受损。这些过程会形成促血栓环境,促使未完全内皮化的支架上微血栓的形成[12]。随后,微栓子可能通过残余分流,引发偏头痛或全身性炎症[9]。在这种情况下,已有研究表明取出封堵器可显著改善患者预后,尤其是药物治疗(例如皮质类固醇、抗血小板药物等)无效的患者。多个病例报告和研究均记录了取出封堵器后症状完全消失,进一步证明了镍过敏可能为封堵器失效的潜在原因,对镍过敏加以识别非常重要[13,14]。
尽管对PFO/ASD封堵器置入术后镍过敏的认识在提高,但目前缺乏标准化的术前筛查与术后管理指南。目前的诊断方法依赖皮肤斑贴试验来识别有镍过敏风险的患者[15]。是否移除器械通常取决于患者症状的严重程度及生活质量。本研究旨在回顾性分析因镍过敏接受完全内镜下封堵器移除术的患者结局,重点关注症状缓解情况及微创手术的安全性。

图1. 患者入组流程图。该图说明了2020年至2025年期间接受全内镜下卵圆孔未闭/房间隔缺损封堵器取出术患者的筛选流程
完全内镜下房间隔缺损(ASD)/卵圆孔未闭(PFO)封堵器取出术的术中视频。与本⽂相关的视频可在在线版本中通过https://doi.org/10.31083/HSF49911查看。
2 结果
最终纳入的95名患者均成功接受了全内镜下封堵器取出术,无一例转为开放手术(技术成功率为 100%)。这95名患者的中位年龄为32.6岁,女性占绝大多数(89.5%)。在这些患者中,使用最多的封堵器来自先健科技公司,占34.7%,而雅培封堵器的使用率为10.5%。心血管合并症相对少见,如冠状动脉疾病(2.1%)、高脂血症(5.3%)和高血压(5.3%)。精神疾病也不常见,7.4%的患者被诊断为焦虑症,5.3%的患者患有抑郁症。自身免疫性疾病和甲状腺疾病较为罕见。值得注意的是,金属过敏现象十分普遍,47.4%的患者报告对诸如皮带扣或耳钉等常见物品过敏,这表明金属敏感性可能与封堵器相关并发症存在关联。
植入封堵器的主要指征是曾有中风或短暂性脑缺血发作病史(47.4%),其次是难治性头痛或偏头痛(36.8%)。房间隔缺损占10.5%,而剩余5.3%的患者无症状。神经系统疾病,尤其是偏头痛和中风的高发率,反映了其与卵圆孔未闭的既定关联。值得注意的是,有明确过敏史的患者,尤其是金属过敏者,可能出现术后并发症而需取出封堵器,这表明过敏可能影响封堵器的长期预后(表1)。

表1. 患者人口统计学特征与基线特征
植入封堵器后,84.2%的患者报告了术后不适症状,且具体表现差异很大。47.4%的患者有头痛或偏头痛,21.1%患者出现胸痛。42.1%的患者报告了神经系统症状,如头晕、眩晕(21.1%)和视力模糊(21.1%)。心悸(15.8%)、活动时气短(21.1%)以及心律失常或心动过速(15.8%)等心血管问题也很常见。31.6%的患者感到疲劳,10.5%的患者报告有胃肠症状、皮疹和抑郁。值得注意的是,大多数症状(84.2%)在术后即刻出现,10.5%的患者在术后第一个月内出现症状,5.3%的患者在术后一个月以上才出现症状(表2)。

表2. 置入封堵器后症状及症状出现的时间
镍过敏测试
图2展示了植入PFO/ASD封堵器的患者镍过敏斑贴试验的结果。左图中可见明显的阳性反应(红色箭头所示),表明镍测试部位出现了局部炎症。右图展示了测试过程,将各种过敏原通过贴片贴在患者背部。在出现术后并发症的患者中,对镍的阳性反应较为常见,这进一步证实了镍过敏与封堵器取出需求相关。

图2. 对植入PFO/ASD封堵器的患者进行镍过敏斑贴试验。图中展示了斑贴试验的结果,阳性反应由红色箭头标出。左图显示了试验部位的皮肤反应及炎症,右图则展示了试验装置,包括通过斑贴贴敷的多种过敏原等。阳性反应表明存在镍过敏,这是术后并发症及封堵器取出决策的关键因素。
术中发现及手术过程
图3展示了经完全内镜下取出卵圆孔未闭封堵器的关键步骤,突出了技术要点和术中发现。在暴露右心房后,小心地将封堵器从间隔组织中分离出来,随后检查残余的间隔缺损处是否存在结构异常或愈合不完全的情况。最后通过直接缝合间隔缺损或使用组织补片完成手术。如图所示,这种完全内镜下的手术方法高效且术野清晰,最终手术成功,未出现任何并发症。

图3. 经完全内镜下取出卵圆孔未闭封堵器的术中图像。该图列展示了(A)心脏及周围结构的初始暴露,(B)卵圆孔未闭封堵器的识别与分离,(C)封堵器取出,(D)残余缺损的检查,(E)准备进行间隔修补,以及(F)缝合修补完成。
所有95例接受卵圆孔未闭(PFO)或房间隔缺损(ASD)封堵器取出术的患者均采用全胸腔镜手术方式,无需开胸或正中胸骨切开术。封堵器取出后,96.8%的患者直接缝合残余的间隔缺损,仅有3例(3.2%)患者需要使用组织补片。所有患者均进行了镍过敏测试,其中大多数(89.5%)呈阳性,这表明镍过敏与封堵器相关并发症之间存在很强的相关性。体外循环(CPB)的平均时间为71.2分钟,而阻断钳夹的平均时间为34.6分钟。术中出血量极少,平均为36.8毫升,术后平均通气时间为4.7小时。无因出血而再次手术或院内死亡病例,表明安全性良好。术中检查三尖瓣功能正常,无需修复,且未造成医源性损伤。胸腔引流量少,平均为17.5毫升,平均拔除胸腔引流管时间为10.9小时。仅有2例患者(2.1%)术后出现房颤,进一步表明并发症发生率低(表3)。图4展示了从患者体内取出的卵圆孔未闭封堵多角度图像。这些图像清晰地显示了封堵器在取出后的结构完整性,可见组织残留物和完全内皮化的迹象。

表3. 接受卵圆孔未闭/房间隔缺损封堵器取出术患者的围⼿术期数据。

图4. PFO封堵器移除后的状态。该图从多个角度展示了该封堵器,包括俯视图和侧视图。
术后发现与手术疤痕
图5展示了完全内镜下PFO封堵器取出术后的切口。红色箭头指示的是手术中使用的胸腔镜小切口,而白色箭头则标出了取出封堵器的主要切口。该图像显示仅有轻微的疤痕和局部瘀伤,表明内镜手术方法的有效性。

图5. 完全胸腔镜下PFO封堵器取出术后的胸腔镜切口。红色箭头标示的是小的胸腔镜入口,白色箭头所指是取出封堵器的主要切口。疤痕极小,可见该手术创伤较小。该图展示了胸腔镜手术的良好美容效果和较少的手术创伤。
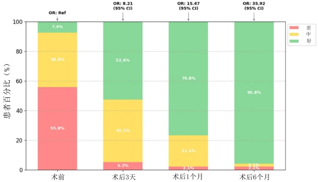
在95名患者中,PFO/ASD封堵器取出术后生活质量评分显著提高(表4)。术前,大多数患者报告生活质量较差(55.8%,n=53)。仅有7.4%(n=7)的人认为生活质量良好。术后3天,情况有了显著改善:52.6%(n=50)的人报告生活质量良好,报告生活质量差的患者比例大幅下降至5.3%(n=5)。术后1个月随访时,认为生活质量良好的比例进一步上升至76.8%(n=73),而报告生活质量差的患者仅剩2人(2.1%)。术后6个月时,改善最为显著,95.8%(n=91)的人认为生活质量良好,仅有2人(各占2.1%)分别被评为一般或差(图6)。敏感性分析证实了这些发现的稳健性。连续SF-36评分的线性混合模型显示时间效应显著(p<0.001)。达到“良好”生活质量的二元模型显示,随着时间的推移,几率显著增加(6个月时OR=42.10,95% CI:19.21-92.28)。完整病例分析(n=91)得出的结果几乎相同,表明缺失数据未对结论产生影响。

表4. ⽣活质量评分随时间变化及⼴义估计⽅程有序回归的校正⽐值⽐(n=95)。

图6. 内镜下PFO/ASD取出术后纵向生活质量改善情况。堆积百分比条形图显示95名患者在四个时间点的生活质量评分(差、中、好)分布情况。各段内标注了百分比。广义估计方程有序回归模型得出的调整比值比(OR)显示在每个条形上方,表明随着时间推移生活质量显著改善(所有p<0.0001)。报告“良好”生活质量的患者比例从术前的7.4%增加到术后6个月的95.8%。
3 讨论
本研究证明,完全内镜下取出卵圆孔未闭/房间隔缺损封堵器是一种安全有效的治疗手段,适用于出现严重封堵器相关并发症的患者,尤其是对镍过敏的患者。主要研究结果表明,封堵器取出术显著改善了患者的临床症状,术后6个月时95.8%的患者报告生活质量良好。此外,完全内镜手术方式围手术期并发症少,无一例转为开胸手术,且术后外观效果佳,证实了其安全性和有效性。研究结果强调,在进行卵圆孔未闭/房间隔缺损封堵器植入术时,需要仔细选择患者,并对镍过敏情况进行监测。
本研究结果与之前的研究一致,这些研究强调了在镍过敏相关并发症患者中移除封堵器所带来的积极效果。Sharma等人[9]发现58名患者在取出房间隔封堵器后症状显著缓解。本研究结果与之相似,也显示了较高的症状缓解率。Fernandes等人[22]也报道了一名16岁的镍过敏患者,他在取出封堵器后偏头痛完全消失,这一结果与本研究队列中观察到的改善情况相符。然而,本研究在手术方法上与先前的研究有所不同,先前的研究主要采用开胸手术移除封堵器,如Verma和Tobis[23]的病例系列,而本研究则采用了完全内镜的方法,疤痕更小恢复时间更短。这种微创方法同样能够缓解症状,且无需采用更侵入性的手术方法。此外,本研究强调了术前镍过敏检测的重要性,因为在镍过敏阳性的患者(89.5%)中,取出封堵器后症状有了显著改善,这进一步证实了Apostolos等人[6]关于镍过敏在器械相关并发症中所起作用的研究结果。此外,在镍过敏阴性的患者(10.5%)中,取出器械后也有所改善,这可能归因于内皮功能障碍消除,从而证实了器械取出是治疗顽固性并发症的通用方法。本研究将手术方法与对过敏测试的关注相结合,使本研究与以往文献相比具有独特性。
该研究发现,前来接受封堵器取出术的患者中,绝大多数均有过敏史,最常见的为金属过敏,这一结果令人惊讶,但符合日益增多的客观证据。这一高发率并不能代表所有接受心脏封堵器植入的普通人群,只是选择偏差导致的一个极端例子。该研究群体并非随机选取的术后患者,而是一个高度特定的群体,其植⼊的封堵器往往因难以忍受的不良症状而需要手术取出。因此,80%以上的这一比例很可能反映了过敏反应在导致封堵器失效和取出方面所起的关键作用,而非所有植入患者的过敏发生率。
补充表1汇总了多例因PFO或ASD封堵器相关并发症而进行封堵器取出术的病例和研究。多项研究中反复出现的一个主题是,在取出封堵器后,患者的症状,如偏头痛、胸痛和全身性过敏反应等均得到缓解。在Fernandes等人[22]的研究中,一名16岁男性长达6年的偏头痛在封堵器取出术后完全消失,而不完全内皮化被认为是导致偏头痛的因素之一[22]。Spina等人[24]和Wertman等人[4]的研究也强调了镍过敏与不良后果之间的关联,并建议术前进行过敏筛查。Rodés-Cabau等人[1]的研究表明,对于植入ASD封堵器的患者,双联抗血小板治疗可减轻偏头痛症状。最后,SadasivanNair等人[14]和Verma与Tobis[23]的研究指出,镍过敏是封堵器取出的一个重要原因,大多数患者在取出封堵器后症状完全消失。这些发现突显了术前评估和监测镍过敏的重要性,以避免长期并发症。

补充表1. 镍过敏与封堵器植入临床研究的详细数据表
传统开胸手术一直是取出PFO/ASD封堵器的标准方式[23]。本研究采用的完全内镜下取出术恢复更快、并发症更少且美容效果更佳。此外,直接缝合间隔的成功率高达96.8%,无需进行大范围补片修复,突出了内镜技术在处理残留间隔缺损方面的有效性。与既往开胸手术报道相比,本研究术中出血量极少(36.8mL),术后房颤发生率仅2.1%,进一步证实了其安全性。此外,术前镍过敏检测日益受到重视。此研究中高达89.5%的患者镍过敏检测结果呈阳性,这进一步凸显了在与器械相关的手术中开展过敏性筛查的重要性[6]。这种微创手术结合针对性术前评估的综合策略,为改善患者预后提供了全新思路。
本研究的局限性在于其回顾性设计,可能引入选择偏倚并限制结果的普遍适用性。尽管无法明确因果关系,但器械植入与症状出现的时间关联提供了有力证据:84.2%(80/95)的患者在术后24小时内出现症状,与IV型镍过敏反应12–72小时的激活窗口一致。这种急性表现强烈提示更可能为免疫介导机制,而非内皮化失败的机械并发症。其次,样本量(n=95)较小且缺乏非过敏对照组,虽已是同类研究中规模最大,仍限制了结果的普遍性。同时缺乏6个月以上的长期随访数据,无法评估症状缓解的持续性及长期并发症。虽然通过斑贴试验确认了镍过敏,但缺乏对取出封堵器的微观结构分析(如扫描电镜评估腐蚀或微血栓)。未来仍需进一步研究,以阐明镍过敏与器械相关症状之间的具体病理生理机制。
4 结论
完全内镜下取出PFO/ASD封堵器为镍过敏或封堵器不耐受患者提供了新的微创治疗选择,具有创伤小、恢复快及美容效果好等优势,并可显著缓解相关症状。但目前对镍过敏及其对心脏封堵器的长期影响的认识仍然有限。未来需建立术前镍过敏筛查策略,并通过多中心前瞻性研究进一步评估内镜取出术的长期安全性,同时阐明镍暴露与封堵器相关并发症的机制,以优化患者管理与随访。
参考文献
[1] Rodé s-Cabau J, Horlick E, Ibrahim R, Cheema AN, Labinaz M, Nadeem N, et al. Effect of Clopidogrel and Aspirin vs Aspirin Alone on Migraine Headaches After Transcatheter Atrial Sep-tal Defect Closure: The CANOA Randomized Clinical Trial. JAMA. 2015; 314: 2147– 2154. https://doi. org/10.1001/jama.2015.13919.
[2] Chen Z, Liu Y, Song Q, Zou H. Re-conceptualization of the “ Chinese Expert Guidelines for the Prevention of Stroke Asso-ciated with Patent Foramen Ovale” for the management of pe-rioperative stroke in patients with lung cancer. Cardiovascular Innovations and Applications. 2023; 8: 980.
[3] Braun MU, Fassbender D, Schoen SP, Haass M, Schraeder R, Scholtz W, et al. Transcatheter closure of patent foramen ovale in patients with cerebral ischemia. Journal of the American College of Cardiology. 2002; 39: 2019– 2025. https://doi.org/10.1016/s0735-1097(02)01904-6.
[4] Wertman B, Azarbal B, Riedl M, Tobis J. Adverse events associated with nickel allergy in patients undergoing percutaneous atrial septal defect or patent foramen ovale closure. Journal of the American College of Cardiology. 2006; 47: 1226– 1227. https://doi.org/10.1016/j.jacc.2005. 12.017.
[5] Zeng H, Lan B, Liu X, Xie H, Li B, Xue X, et al. Clinical Implications and Procedural Complications in Patients with Patent Foramen Ovale Concomitant with Atrial Septal Aneurysm. Car-diovascular Innovations and Applications. 2024; 9: 943.
[6] Apostolos A, Drakopoulou M, Gregoriou S, Synetos A, Trantalis G, Tsivgoulis G, et al. Nickel Hypersensitivity to Atrial Septal Occluders: Smoke Without Fire? Clinical Reviews in Allergy & Immunology. 2022; 62: 476– 483. https://doi.org/ 10. 1007/s12016-021-08867-0.
[7] Dickison P, Harris V, Smith SD. Nickel hypersensitivity follow-ing closure of atrial septal defect: A case report and review of the literature. The Australasian Journal of Dermatology. 2018; 59: 220– 222. https://doi.org/10.1111/ ajd.12787.
[8] Tjen VH, Yang PZ. Nickel-related hypersensitivity reactions fol-lowing endovascular interventions: A review of current evi-dence. Science Progress. 2023; 106: 368504231200626. https: //doi.org/10.1177/00368504231200626.
[9] Sharma V, DeShazo RA, Skidmore CR, Glotzbach JP, Koliopoulou A, Javan H, et al. Surgical explantation of atrial sep-tal closure devices for refractory nickel allergy symptoms. The Journal of Thoracic and Cardiovascular Surgery. 2020; 160: 502– 509.e1. https://doi.org/10.1016/j. jtcvs.2019.10.177.
[10] Schmidt M, Raghavan B, Mü ller V, Vogl T, Fejer G, Tchaptchet S, et al. Crucial role for human Toll-like receptor 4 in the devel-opment of contact allergy to nickel. Nature Immunology. 2010; 11: 814– 819. https://doi.org/10.1038/ni.1919.
[11] Martin SF. Immunological mechanisms in allergic contact dermatitis. Current Opinion in Allergy and Clinical Immunology. 2015; 15: 124– 130. https://doi.org/10.1097 ACI. 0000000000000142.
[12] Wang S, Qiao W, Dong N. Residual shunt and microthrombosis associated with new-onset migraine after transcatheter atrial septal defect closure. European Heart Journal. 2023; 44: 4605. https://doi.org/10.1093/eurheartj/ehad645.
[13] Resor CD, Goldminz AM, Shekar P, Padera R, O’ Gara PT, Shah PB. Systemic Allergic Contact Dermatitis Due to a GORE CARDIOFORM Septal Occluder Device: A Case Report and Literature Review. JACC. Case Reports. 2020; 2: 1867– 1871. https://doi.org/10.1016/j.jaccas.2020.05.091.
[14] Sadasivan Nair P, Jaya JS, Comella A, Smith JA, Harper R, Joshi PP. Migraine-like headaches associated with nickel allergy requiring removal of atrial septal defect closure device. Indian Journal of Thoracic and Cardiovascular Surgery. 2021; 37: 299– 302. https://doi.org/10.1007/ s12055-021-01155-8.
[15] Rabkin DG, Whitehead KJ, Michaels AD, Powell DL, Karwande SV. Unusual presentation of nickel allergy requiring ex-plantation of an Amplatzer atrial septal occluder device. Clini-cal Cardiology. 2009; 32: E55– E57. https://doi.org/10. 1002/clc.20427.
[16] Silberstein SD, Holland S, Freitag F, Dodick DW, Argoff C, Ashman E, et al. Evidence-based guideline update: pharmacologic treatment for episodic migraine prevention in adults: report of the Quality Standards Subcommittee of the American Academy of Neurology and the American Headache Society. Neurology. 2012; 78: 1337– 1345. https://doi.org/10.1212/ WNL.0b013e3182535d20.
[17] Wintzer-Wehekind J, Horlick E, Ibrahim R, Cheema AN, Labi-naz M, Nadeem N, et al. Effect of Clopidogrel and Aspirin vs Aspirin Alone on Migraine Headaches After Transcatheter Atrial Septal Defect Closure: One-Year Results of the CANOA Randomized Clinical Trial. JAMA Cardiology. 2021; 6: 209– 213. https://doi.org/10.1001/jamacardio.2020.4297.
[18] Sposato LA, Albin CSW, Elkind MSV, Kamel H, Saver JL. Patent Foramen Ovale Management for Secondary Stroke Prevention: State-of-the-Art Appraisal of Current Evidence. Stroke. 2024; 55: 236– 247. https://doi.org/10.1161/ STROKEAHA. 123.040546.
[19] McHorney CA, Ware JE, Jr, Raczek AE. The MOS 36-Item Short-Form Health Survey (SF-36): II. Psychometric and clinical tests of validity in measuring physical and mental health constructs. Medical Care. 1993; 31: 247– 263. https://doi. org/10.1097/00005650-199303000-00006.
[20] Spertus JA, Winder JA, Dewhurst TA, Deyo RA, Fihn SD. Mon-itoring the quality of life in patients with coronary artery disease. The American Journal of Cardiology. 1994; 74: 1240– 1244. https://doi.org/10.1016/0002-9149(94)90555-x.
[21] Belardinelli R, Georgiou D, Cianci G, Purcaro A. Randomized, controlled trial of long-term moderate exercise training in chronic heart failure: effects on functional capacity, quality of life, and clinical outcome. Circulation. 1999; 99: 1173–
1182. https://doi.org/10.1161/01.cir.99.9.1173.
[22] Fernandes P, Sharma SR, Magee A, Michielon G, Fraisse A. Se-vere Migraine Associated With Nickel Allergy Requiring Surgi-cal Removal of Atrial Septal Device. The Annals of Thoracic Surgery. 2019; 108: e183– e184. https://doi.org/10. 1016/j.athoracsur.2019.01.034.
[23] Verma SK, Tobis JM. Explantation of patent foramen ovale clo-sure devices: a multicenter survey. JACC. Cardiovascular Inter-ventions. 2011; 4: 579– 585. https://doi.org/10.1016/j. jcin.2011. 01.009.
[24] Spina R, Muller DWM, Jansz P, Gunalingam B. Nickel hypersensitivity reaction following Amplatzer atrial septal defect oc-cluder device deployment successfully treated by explantation of the device. International Journal of Cardiology. 2016; 223: 242– 243. https://doi.org/10.1016/j. ijcard.2016.08.112.
相关文章:

扫码下载文献PDF原文
-END-

扫码观看可降解学苑精彩内容
· END ·
专业的心血管医生学术交流平台


版权及免责声明:
本网站所发表内容知识产权归属医谱平台、主办方以及原作者等相关权利人,未经许可,禁止进行复制、传播、展示、镜像、转载、摘编等。经授权使用,须注明来源,否则将追究其法律责任。有关作品内容、版权和其他问题请与本网联系
发表留言
暂无留言
输入您的留言参与专家互动