Eur Respir J 新型风险分层体系:荆志成教授团队破局CTEPH药物管理困境
慢性血栓栓塞性肺动脉高压(Chronic Thromboembolic Pulmonary Hypertension, CTEPH)是肺动脉被机化血栓阻塞导致肺血管重塑与压力升高的严重疾病。近年来,随着肺动脉内膜切除术(Pulmonary Endarterectomy, PEA)和球囊肺动脉成形术(Balloon Pulmonary Angioplasty, BPA)等技术的成熟与推广,CTEPH患者的预后得到了显著改善。然而,临床实践中的挑战远未结束。相当比例的CTEPH患者不适合行PEA/BPA手术治疗,此外,50%左右接受PEA/BPA手术治疗的CTEPH患者存在术后残余肺高压。多项RCT研究表明,对于无法手术或术后仍存在残余肺动脉高压的CTEPH患者而言,肺高压靶向药物能够产生临床获益。但如何精准评估其风险,并据此指导是否启用以及如何调整肺高压靶向药物,一直是临床决策中的争议焦点和未满足的需求。
近日,荆志成教授团队在European Respiratory Journal杂志在线发表了题为“sST2 and IL-6 predict prognosis of medically treated chronic thromboembolic pulmonary hypertension”的研究论文。该研究通过大规模双队列研究,首次系统性验证了两种炎症标志物—可溶性致瘤性抑制蛋白2 (soluble Suppression Tumorigenicity 2, sST2)和白介素-6 (interleukin-6, IL-6)—在药物治疗的CTEPH患者中具有独立的强大预后价值,两者联合可构建清晰的风险梯度,并显著优化现有风险分层模型。

本研究回顾性纳入了2009年至2021年间来自国内三大中心的576例药物治疗CTEPH患者,分为发现队列(372例)和独立验证队列(204例)。研究终点为全因死亡率,中位随访时间超过5年。

图1. 研究设计
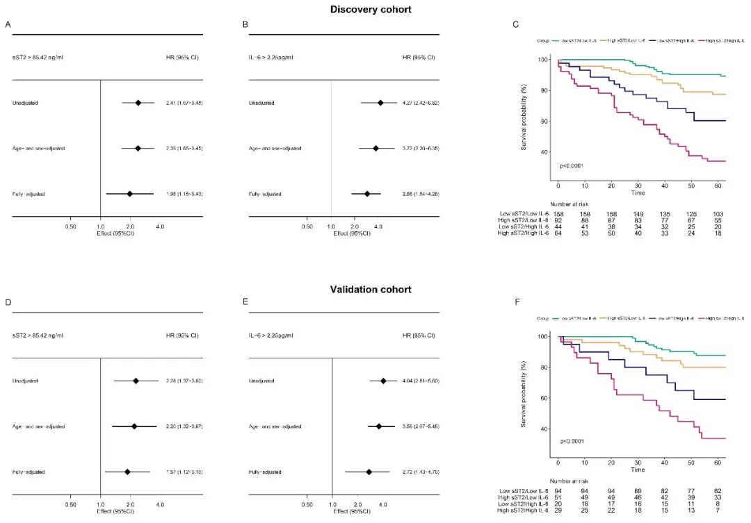
研究首先通过多变量分析筛选出与死亡风险显著相关的炎症标志物。结果显示,在众多候选标志物中,sST2和IL-6在两个独立队列中均表现出稳健且独立的预后预测能力。高水平的sST2 (≥85.42 ng/mL)或IL-6 (≥2.25 pg/mL)均与显著增加的死亡风险相关。
更重要的是,研究者将sST2与IL-6组合成“生物标志物组合”,将患者分为四组:低sST2/低IL-6、高sST2/低IL-6、低sST2/高IL-6、高sST2/高IL-6。分析揭示出强烈的生存梯度:在发现队列中,这四组患者的5年生存率分别为90.5%、78.3%、61.4%和34.4% (P<0.001),这一梯度在验证队列中得到完美重复。

图2. sST2和IL-6升高是CTEPH患者远期预后的独立危险因素
研究进一步评估了将sST2/IL-6 panel整合到现有主流风险模型(如COMPERA、COMPERA 2.0、REVEAL 2.0等)中的效果。结果显示,加入sST2/IL-6 panel后,所有模型的预测区分能力(C-index)均得到显著提升,例如COMPERA 2.0模型的C-index从约0.71提高至0.84以上。NRI和IDI分析也一致证实了其增加的预测价值。
综上,此项研究是迄今为止关于炎症标志物在药物治疗CTEPH患者中预后价值的最大规模验证研究。其结果表明,sST2与IL-6是简单、有效的血液生物标志物,能够显著优化当前CTEPH的风险评估体系。sST2主要反映心肌应激和纤维化,与右心功能密切相关;而IL-6则是驱动血管炎症和血栓重塑的关键细胞因子。二者同时升高,意味着心肺负荷与血管炎症过程双重加剧,故而预后最差。临床医生可利用这一工具,更精准地识别出高危患者(尤其是sST2与IL-6双高者),从而采取更积极的治疗策略,如重新评估手术可能性、强化靶向药物治疗或探索抗炎治疗;同时,对低危患者则可避免过度治疗,减轻负担。这为迈向CTEPH的精准管理迈出了关键一步。

图3. sST2/IL-6标志物组合对CTEPH患者预后的预测价值
广东省心血管病研究所荆志成教授、北京协和医院张泽建副研究员和孙凯副研究员为本文的通讯作者。广东省人民医院刘超博士后、北京协和医院邱宝晨博士、河南省科技大学第一附属医院李双萍博士为共同第一作者。该研究获得了癌症、心脑血管、呼吸和代谢性疾病防治研究国家科技重大专项、国家自然科学基金、中国医学科学院创新工程、深圳市医学研究基金等多个项目的支持。
原文链接:
https://doi.org/10.1183/13993003.02367-2025
· END ·
专业的心血管医生学术交流平台


版权及免责声明:
本网站所发表内容知识产权归属医谱平台、主办方以及原作者等相关权利人,未经许可,禁止进行复制、传播、展示、镜像、转载、摘编等。经授权使用,须注明来源,否则将追究其法律责任。有关作品内容、版权和其他问题请与本网联系
发表留言
暂无留言
输入您的留言参与专家互动