重磅研究 | 中国射血分数保留的心力衰竭患者的临床表型和结局研究
2026年2月19日,复旦大学附属中山医院葛均波院士/周京敏教授团队与北京医院杨杰孚教授团队在《Medcomm》(中科院1区,IF=10.7)杂志发表了题为“Phenotypes and Clinical Outcome of Heart Failure With Preserved Ejection Fraction Patients in China: Findings From the Chinese Cardiovascular Association Database-Heart Failure Center Registry”的研究成果。该论文基于苏州工业园区东方华夏心血管健康研究院-心衰中心数据库,依据葛均波院士提出的射血分数保留的心力衰竭(HFpEF)表型分类方法对HFpEF患者进行分型,发现不同临床表型患者预后和危险因素显著不同,显示出此表型分类方法对于指导HFpEF预后和治疗方面的重要价值。

研究背景
当前,射血分数保留的心力衰竭(HFpEF)已成为心衰的主要类型,病因复杂、异质性强,长期以来缺乏有效的治疗方法。对HFpEF患者进行表型分类以指导病因特异性治疗策略是解决当前困境的一种合理方法。2019年葛均波院士提出了HFpEF表型分类方法(如表1),然而此分型是否可以预测HFpEF预后、指导治疗方案尚待进一步研究证实。
表1:HFpEF的病因分型

研究方法
本研究基于苏州工业园区东方华夏心血管健康研究院-心衰中心数据库,纳入了2017年1月至2021年12月全国481家中心纳入的共51,466名住院HFpEF患者,并依据前述HFpEF表型分类方法将患者分为以下五型:HFpEF-1(血管相关型),HFpEF-2(心肌病相关型),HFpEF-3(右心/肺相关型),HFpEF-4(瓣膜/心律相关型),HFpEF-5(心外疾病相关型),比较1年随访期不同分型患者预后和危险因素的差异。主要研究终点为1年内心衰再入院和心血管死亡的复合终点,次要终点为1年内全因死亡和全因再入院。
研究结果
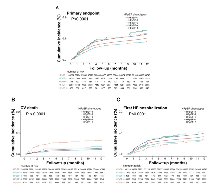
预后差异显著:主要终点(心衰再住院或心血管死亡)发生率在5组间存在显著差别。HFpEF-2型患者预后相对最佳,HFpEF-3、4、5型患者预后较差。其中HFpEF-3、4型患者心衰再入院率较高,而HFpEF-5型患者心血管死亡和全因死亡风险最高,提示非心血管因素可能主导了其不良预后。

图1: 5种分型HFpEF患者1年随访期内主要研究终点(心血管死亡、首次心衰住院)的差异

图2: 5种分型HFpEF患者1年随访期内全因死亡、非心血管死亡、首次入院、首次心血管住院的差异
风险因素“因型而异”:多因素分析揭示了不同表型HFpEF患者具有不同的预后危险因素。例如,对于最大的HFpEF-1群体,年龄、既往心衰住院、NT-proBNP≥1600 pg/ml、低收缩压(<120 mmHg)等是独立危险因素。而对于HFpEF-5型,NT-proBNP升高和既往心衰住院史是主要风险信号。研究结果提示,临床管理中需要针对不同表型患者关注其特有的风险指标。
研究意义
从“同病同治”到“分型而治”
1.证实分型价值:首次在大规模真实世界人群中证实,病因指导的HFpEF表型分类方法具有明确的预后预测价值,对临床决策具有重要指导意义。相比于既往研究通过聚类分析分型、机器学习分型、代谢分型等分型方式,此分型临床应用更加方便可行,可应用性强。
2.指导资源分配:有助于识别高危表型患者(如HFpEF-3,4,5),对其进行更密切的随访和更积极的管理。
3.指明研发方向:为未来开展针对特定表型的临床试验奠定了理论基础。将HFpEF复杂异质性的临床综合征进行分类管理,有助于制定个性化治疗方案。
局限性说明
本研究作为观察性研究,存在一定局限性。例如,由于发病率不同,部分表型(如HFpEF-3)患者数量较少,相关结果可能产生偏倚;表型分类依赖于临床医生的判断,对于合并多种基础疾病的HFpEF患者通过主要促进心衰的病因进行分型;研究开展时SGLT2i等近年来新型药物的使用率较低,结果可能更多反映了前SGLT2i时代的治疗现状。
本文由复旦大学附属中山医院/上海市老年医学中心心内科袁帅医师、复旦大学生物医学研究院谢钟磊博士后、复旦大学附属中山医院心内科崔晓通副主任医师、广东省人民医院心内科姚顺医师(复旦大学附属中山医院博士毕业生)为共同第一作者,复旦大学附属中山医院葛均波院士、周京敏教授、北京医院杨杰孚教授为共同通讯作者。
专家简介

中国科学院院士,国际著名心血管病专家。现任复旦大学附属中山医院心内科主任、上海市心血管病研究所所长、复旦大学生物医学研究院院长、中国医师协会心血管内科医师分会荣誉会长,中国医学科学院学术咨询委员会学部委员。曾任中华医学会心血管病分会主任委员,美国心脏病学会国际顾问,亚太介入心脏病学会主席。长期致力于推动我国重大心血管疾病诊疗技术革新和成果转化,以第一或通讯作者发表 SCI 论文669篇;作为第一完成人获得国家科技进步二等奖、国家技术发明奖二等奖、上海市科技功臣奖、上海市科技进步奖一等奖、上海市技术发明奖一等奖、教育部科技进步一等奖等科技奖项17项。担任《Cardiology Plus》主编、《Heart(BMJ Journals)》副主编、《International Journal of Cardiology》中国高级副主编、《Herz》国际部编辑;主编英文专著1部、中文专著23部,主编《内科学(第9版)》2021年获全国教材建设一等奖。被授予全国创新争先奖章、白求恩奖章、何梁何利科学技术进步奖、世界杰出华人医师霍英东奖、国际心血管创新大会 (ICI) 终身成就奖等荣誉。

北京医院心脏中心主任、主任医师、教授、博士生导师。
主要专业方向:心脏起搏及电生理、心力衰竭、复杂心血管疾病的防治。
全国政协委员、享受国务院政府津贴、获中华医学科技进步一等奖(2022,第一完成人)及中国医师奖等10余项。
主要学术任职:中华医学会心血管病分会副主任委员(第十届及十一届);中华医学会心电生理和起搏分会副主任委员(第六届及第七届);中国老年医学会心电与心功能分会会长;中国医院学会心脏康复管理专业委员会副会长。中华心血管病杂志编委;中华心律失常杂志编委;中国介入心脏病学杂志副主编。
牵头制定“2014及2018中国心衰诊断与治疗指南”及心血管疾病专家共识20余个,参与全国高等院校教材编写。主编 «心脏病药物治疗学»及«心脏急诊»等专著6部,发表学术论文200多篇。牵头国家及省部级科研科研项目10多项。

复旦大学附属中山医院心内科副主任,主任医师、教授、医学博士、博士生导师。
美国心脏病学fellow(FACC);欧洲心脏病学fellow(FESC);第五届中国医师协会心血管内科医生分会心力衰竭学组副组长;第九、十届中华医学会心血管病分会心力衰竭学组副组长;上海医学会心血管病分会委员;上海市中西医结合学会心血管病分会副主任委员;心衰中心执行主席。

复旦大学附属中山医院/上海市老年医学中心心内科医师,复旦大学附属中山医院心血管内科学 博士。
主要研究方向为心力衰竭、心律失常的临床与发病机制研究。主持国家自然科学基金青年基金1项,参与多项国家级和省市级科研项目,发表多篇SCI论文。
· END ·
专业的心血管医生学术交流平台


版权及免责声明:
本网站所发表内容知识产权归属医谱平台、主办方以及原作者等相关权利人,未经许可,禁止进行复制、传播、展示、镜像、转载、摘编等。经授权使用,须注明来源,否则将追究其法律责任。有关作品内容、版权和其他问题请与本网联系
发表留言
暂无留言
输入您的留言参与专家互动