房颤冠脉栓塞:被低估的高危亚型
冠状动脉栓塞(CE)是急性心肌梗死(AMI)的一种未被充分认识的原因,在急性冠脉综合征中占少数,但与显著的临床后果相关。CE发生在栓子(通常源自心脏或大血管)急性闭塞冠状动脉时,而无斑块破裂或严重动脉粥样硬化基础。房颤(AF)是与CE最常见的心脏疾病,被广泛认为是主要的栓塞前状态。
既往研究已描述了AF背景下CE的临床特征和结局,确定了与动脉粥样硬化性心肌梗死相比独特的临床特征。然而,目前证据主要基于单中心队列,样本量小,外部有效性有限。此外,关于AF作为CE根本原因与其他原因的比较信息有限。
JAHA上发表了一篇相关的多中心的队列研究1。该研究是首个专门针对CE的多中心研究,涵盖西班牙和法国的10家医院,样本量大,中位随访时间>10年。具体信息如下,从2007年1月至2025年5月,研究团队回顾性纳入了10家医院(西班牙9家,法国1家)心内科监护病房所有连续入院的符合第四版急性心肌梗死通用定义和Shibata分类中明确或可能CE标准的患者。 Shibata的CE诊断标准包括3项主要标准(图1):(1) 无可归因于动脉粥样硬化斑块破裂的冠状动脉栓塞造影证据,(2) 多部位冠状动脉栓塞,(3) 排除ST段抬高型心肌梗死(STEMI)后继发左心室血栓的伴随系统性栓塞;以及3项次要标准:(1) 除罪犯病变外冠状动脉狭窄<25%,(2) 影像学检查发现栓塞来源,(3) 存在血栓栓塞危险因素如AF、扩张型心肌病、风湿性瓣膜病、感染性心内膜炎、人工瓣膜、近期心脏手术、高凝状态、卵圆孔未闭或房间隔缺损。明确CE定义为存在≥2项主要标准、1项主要加≥2项次要标准,或3项次要标准。可能CE需要1项主要加1项次要标准,或2项次要标准。
STEMI和非STEMI根据当前欧洲心脏病学会(ESC)指南定义。如果存在动脉粥样硬化血栓、冠状动脉扩张、斑块破裂或侵蚀(腔内影像学检查)、自发性冠状动脉夹层、血管痉挛或应激性心肌病的证据,则排除患者。在非阻塞性冠状动脉心肌梗死(MINOCA)病例中,当心脏磁共振(CMR)显示与局灶性急性缺血性损伤一致的表现——特征为心内膜下或透壁性延迟钆增强伴相应局灶性心肌水肿——且同时符合Shibata标准时,支持CE诊断(图2)。
初始诊断为MINOCA的患者按照当前指南进行了心脏磁共振检查(图2)。检查包括长轴和短轴电影稳态自由进动序列,用于评估心室功能和室壁运动异常;T2加权短tau反转恢复序列检测心肌水肿;以及静脉注射钆对比剂后10-15分钟的延迟钆增强成像,使用相位敏感反转恢复序列识别心肌坏死或纤维化。反转时间个体化调整以达到正常心肌最佳信号抑制。如果存在≥1个急性缺血灶——在T2加权黑血序列上识别为水肿,并在相同位置有心内膜下或透壁性延迟钆增强——则由2名专家重新评估冠状动脉造影。如果影像学发现可疑特征或提示CE以外的其他原因(如斑块侵蚀、自发性冠状动脉夹层等),则排除患者。CE诊断的观察者间Kappa一致性为0.89。
经过此次重新评估,11例初始分类为MINOCA的病例被排除:2例因后续光学相干断层扫描显示斑块侵蚀,3例因随访中记录到血管痉挛发作,2例影像学特征提示自发性冠状动脉夹层,4例回顾后诊断仍不确定。院内主要结局定义为心力衰竭(HF)、心源性休克、室性心动过速、心室颤动、卒中或死亡的复合终点。同时分别评估该复合院内终点的每个组成部分。长期主要结局定义为复发性CE、卒中、系统性栓塞、HF、心源性死亡或全因死亡的复合终点。与院内事件一样,也分别评估该复合长期终点的每个组成部分。


结果如下表下图及下表所示: 共纳入489例CE患者。根据Shibata诊断标准,200例(42%)被分类为明确CE,289例(58%)为可能CE。关于病因,241例(49.3%)患有AF,18例(3.9%)存在凝血障碍,9例(1.8%)有心内占位,7例(1.4%)有感染性心内膜炎,13例(2.7%)为心脏术后空气栓塞,10例(2%)有卵圆孔未闭,18例(3.7%)有恶性肿瘤,6例(1.2%)有人工瓣膜血栓形成,4例(0.8%)有SARS-CoV-2感染,1例(0.2%)有升主动脉血栓,162例(33%)病因不明。339例(69%)为STEMI,150例(31%)为非STEMI。多血管CE存在于65例(13%)患者。140例(29%)表现为MINOCA。200例(41%)符合明确Shibata CE标准,249例(59%)符合可能Shibata CE标准。根据AF与非AF CE分组的临床、生化、超声心动图和造影发现总结于表1和表2。明确CE在AF CE组更常见。AF CE患者年龄更大,女性更常见。他们也有更高的心血管危险因素患病率,如高血压和糖尿病,以及包括慢性肾病和既往卒中在内的合并症。相比之下,非AF CE患者吸烟者更常见,药物滥用率更高,更常表现为炎症性疾病。入院时,AF CE患者的估算肾小球滤过率(eGFR)显著较低,血红蛋白水平较低。关于临床表现和造影发现,AF CE患者更常表现为STEMI,而MINOCA在非AF CE组更常见。两组在罪犯冠状动脉(前降支、回旋支、右冠状动脉)或多血管受累方面无显著差异。有趣的是,非AF患者的近端冠状动脉闭塞更常见。
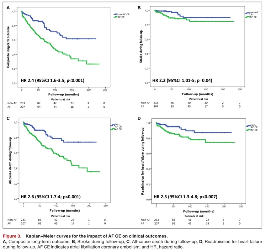
此外,AF CE组初始TIMI 0级血流更常见,且获得最终TIMI 3级血流的可能性更低。AF CE组PCI(包括药物洗脱支架、药物洗脱球囊或单纯血管成形术)实施率较低,保守治疗和血栓抽吸率相似。复合院内结局在AF CE患者中显著比非AF CE患者更常见。当分析该复合结局的各个组成部分时,AF CE组的院内死亡率、HF和心源性休克发生率更高。两组在院内卒中或室性心律失常发生率方面无显著差异(表2)。除AF CE外,年龄、外周动脉疾病、入院时血红蛋白、入院时eGFR、STEMI表现、多血管闭塞、近端闭塞、LVEF、中重度二尖瓣反流、右心室功能障碍和明确CE与院内复合结局相关。在调整潜在混杂因素后,多变量分析中只有入院时较低的血红蛋白(OR, 0.81 [95% CI, 0.7-0.96];P=0.01)、较低的LVEF(OR, 0.96 [95% CI, 0.94-0.99];P=0.001)和AF CE(OR, 3.3 [95% CI, 1.4-8];P=0.007)仍与更差的院内结局独立相关(表3)。在中位随访132个月期间,AF CE组的复合长期结局显著比非AF CE组更常见。当单独分析该复合结局的每个组成部分时,AF CE患者表现出更高的卒中、HF、心血管死亡和全因死亡率。复发心肌梗死或系统性栓塞的发生率无差异(表4)。在调整混杂因素后,多变量分析中AF CE(HR, 2.5 [95% CI, 1.2-5];P=0.01)是长期复合终点的独立预测因素。其他不良预后的独立预测因素包括年龄(HR, 1.07 [95% CI, 1.04-1.1];P<0.001)、女性(HR, 2.4 [95% CI, 1.4-4];P=0.002)、既往卒中(HR, 2 [95% CI, 1.1-3.5];P=0.01)、多血管疾病(HR, 2.9 [95% CI, 1.4-6];P=0.006)、右房扩大(HR, 2 [95% CI, 1.2-3.6];P=0.01)、出院时ACEI/ARB/ARNI(HR, 0.6 [95% CI, 0.3-0.96];P=0.04)和明确CE(HR, 2.7 [95% CI, 1.5-5];P<0.001)(表5)。此外,在Kaplan-Meier生存分析中,AF CE与显著更高的复合不良长期结局发生率(P<0.001)、全因死亡(P<0.001)、卒中(P=0.04)和HF(P=0.007)相关,log-rank检验证实了这一点(图3)。当分析非AF CE组内不同病因的结局时,观察到显著差异(表6)。院内事件发生率最高的是主动脉血栓(100%,单例)、心内占位(77%)和心内膜炎(57%),最低的是病因不明(15%)、SARS-CoV-2相关栓塞(25%)和卵圆孔未闭(30%)。长期结局方面,事件发生率最高的是主动脉血栓(100%,单例)、恶性肿瘤(40%)和医源性原因(31%),而卵圆孔未闭或SARS-CoV-2相关栓塞患者无事件发生,心内占位事件发生率较低。 。




与非AF 相关的CE相比,AF 相关的CE具有独特的临床、超声心动图和造影特征,并与更差的院内和长期结局独立相关。
1.Vera A, Lanaspa A, Varlot J, Pozo-Osinalde E, Vilches L, Ferrer RA, Jover E, Navarro A, Jiménez P, Jiménez-Méndez C, Álvarez R, Margolles LC, Gonzalo N, Ferrer MA, Moreno A, Filloy CG, Sanz-García A, Álvarez V, Alfonso F, Ruiz V, Popovic B. Atrial Fibrillation Versus Nonatrial Fibrillation Coronary Embolism: A Multicenter Study. J Am Heart Assoc. 2026 Feb 20:e045608. doi: 10.1161/JAHA.125.045608. Epub ahead of print. PMID: 41717963.
· END ·
专业的心血管医生学术交流平台


版权及免责声明:
本网站所发表内容知识产权归属医谱平台、主办方以及原作者等相关权利人,未经许可,禁止进行复制、传播、展示、镜像、转载、摘编等。经授权使用,须注明来源,否则将追究其法律责任。有关作品内容、版权和其他问题请与本网联系
发表留言
暂无留言
输入您的留言参与专家互动